BAPO – Bounded Attention Prefix Oracle
This repository contains all scripts for re-producing the results of our paper "Lost in Transmission: When and Why LLMs Fail to Reason Globally".
NeurIPS Spotlight
BibTexをダウンロード
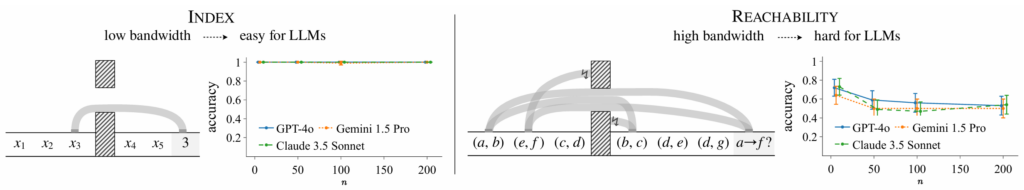
Despite their many successes, transformer-based large language models (LLMs) continue to struggle with tasks that require complex reasoning over large parts of their input. We argue that these failures arise due to capacity limits on the accurate flow of information within LLMs. To formalize this issue, we introduce the bounded attention prefix oracle (BAPO) model, a new computational framework that models bandwidth constraints on attention heads, the mechanism for internal communication in LLMs. We show that several important reasoning problems like graph reachability require high communication bandwidth for BAPOs to solve; we call these problems BAPO-hard. Our experiments corroborate our theoretical predictions: GPT-4, Claude, and Gemini succeed on BAPO-easy tasks and fail even on relatively small BAPO-hard tasks. BAPOs also reveal another benefit of chain of thought (CoT): we prove that breaking down a task using CoT can turn any BAPO-hard problem into a BAPO-easy one. Our results offer principled explanations for key LLM failures and suggest directions for architectures and inference methods that mitigate bandwidth limits.
This repository contains all scripts for re-producing the results of our paper "Lost in Transmission: When and Why LLMs Fail to Reason Globally".